Ethoxy-5700
CAS No.: 62117-57-1
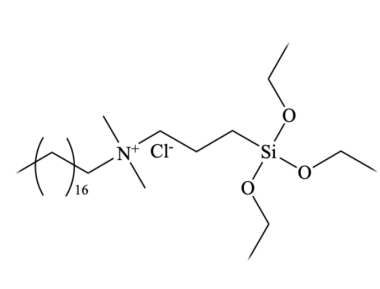
Active ingredient: 3-(Triethoxysilyl) propyldimethyl octadecyl ammonium chloride
CAS 62117-57-1 (Triethoxysilyl Quats) + Water → CAS 199111-50-7 (Trihydroxysilyl Quats)
Chemical Structure:
EC / List no.: 263-413-7
Mol. Formula: C29H64ClNO3Si
Package: 25kg/Drum;180kg/Drum
Use: Organosilane Antimicrobial for Textile industry and Daily use.
IUPAC Name: Dimethyl(octadecyl)[3-(triethoxysilyl)propyl]azanium chloride
Synonyms:
ESi-QAC casno 62117-57-1;Triethoxysilylpropyl steardimonium chloride;triethoxysilylpropyl steardimonium chloride;Dimethyloctadecyl[3-(triethoxysilyl)propyl]ammonium chloride;Octadecyldimethyl(3-triethoxy Silylpropyl)ammonium Chloride;3-(Triethoxysilyl) propyldimethyloctadecyl ammonium chloride;3-(Triethoxysilyl)propyldimethyloctadecyl ammonium chloride;Ethoxy 5700,3-(Triethoxysilyl) propyldimethyl octadecyl ammonium chloride,3-(Triethoxysilyl) propyldimethyl-octadecyl ammonium chloride,Silane Quat casno 62117-57-1,Si-Quat casno 62117-57-1,Siquat casno 62117-57-1,SiQac casno 62117-57-1,Triethoxysilypropyl steardimonium chloride,62117-57-1 + water = 199111-50-7,Trimethoxysilyl quat (Methoxy-5700) cas 27668-52-6,Triethoxysilyl quat (Ethoxy-5700) cas 62117-57-1,Trihydroxysilyl quat (Hydroxy-5700) cas 199111-50-7,Methoxy-5700 cas 27668-52-6,Ethoxy-5700 cas 62117-57-1,Hydroxy-5700 cas 199111-50-7,
Benefits:
It is safe and has no harm to human skin or environment.
It is suitable for food packaging; Children's Toys; Sensitive parts of women, etc
The antibacterial effect is broad-spectrum; Long term; Washable
